首页
初中
高中
音乐
美术
日语
俄语
体育与健康
小学课本
首页
高中课本
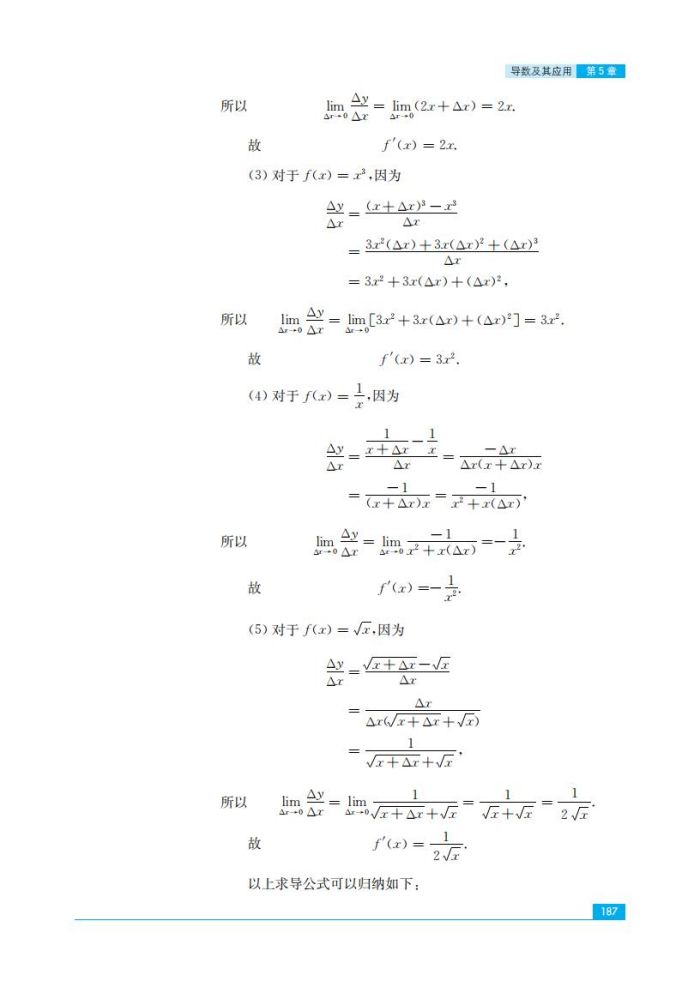
5.2 导数的运算|2019年审定苏教版高中数学选修一
高中课本
5.2 导数的运算|2019年审定苏教版高中数学选修一
温馨提示:5.2 导数的运算|2019年审定苏教版高中数学选修一的图片如果出现 “进度条” 说明图片正在加载中,请耐心等候...,如果加载太久,请刷新一下页面重新加载。。。
2019年审定苏教版高中数学选修一电子课本图片。凤凰教育出版社!2019年审定苏教版高中数学选修一教学用书。我们搜集的教材来源于网络,版权归出版社所有!
声明:我们收集的教材来源于网络,所有版权都归相关出版社,如果冒犯您的权益,我们会进行相关处理。请广大使用者在使用过程中务必注意这一点。我们努力收集相关的教材只为自己提供便利,可能也为你提供方便。
Tags
初中
高中
音乐
美术
日语
俄语
下一篇
5.3 导数在研究函数中的应用|2019年审定苏教版高中数学选修一
上一篇
5.1 导数的概念|2019年审定苏教版高中数学选修一
目录
封面|2019年审定苏教版高中数学选修一
目录|2019年审定苏教版高中数学选修一
第1章 直线与方程|2019年审定苏教版高中数学选修一
1.1 直线的斜率与倾斜角|2019年审定苏教版高中数学选修一
1.2 直线的方程|2019年审定苏教版高中数学选修一
1.3 两条直线的平行与垂直|2019年审定苏教版高中数学选修一
1.4 两条直线的交点|2019年审定苏教版高中数学选修一
1.5 平面上的距离|2019年审定苏教版高中数学选修一
第1章回顾与测试|2019年审定苏教版高中数学选修一
第2章 圆与方程|2019年审定苏教版高中数学选修一
2.1 圆的方程|2019年审定苏教版高中数学选修一
2.2 直线与圆的位置关系|2019年审定苏教版高中数学选修一
2.3 圆与圆的位置关系|2019年审定苏教版高中数学选修一
第2章回顾与测试|2019年审定苏教版高中数学选修一
第3章 圆锥曲线与方程|2019年审定苏教版高中数学选修一
3.1 椭圆|2019年审定苏教版高中数学选修一
3.2 双曲线|2019年审定苏教版高中数学选修一
3.3 抛物线|2019年审定苏教版高中数学选修一
第3章回顾与测试|2019年审定苏教版高中数学选修一
第4章 数列|2019年审定苏教版高中数学选修一
4.1 数列|2019年审定苏教版高中数学选修一
4.2 等差数列|2019年审定苏教版高中数学选修一
4.3 等比数列|2019年审定苏教版高中数学选修一
4.4 数学归纳法|2019年审定苏教版高中数学选修一
第4章回顾与测试|2019年审定苏教版高中数学选修一
第5章 导数及其应用|2019年审定苏教版高中数学选修一
5.1 导数的概念|2019年审定苏教版高中数学选修一
5.2 导数的运算|2019年审定苏教版高中数学选修一
5.3 导数在研究函数中的应用|2019年审定苏教版高中数学选修一
第5章回顾与测试|2019年审定苏教版高中数学选修一
专题 数学建模与数学探究|2019年审定苏教版高中数学选修一
初中课本
初中语文课本
初中数学课本
初中英语课本
初中物理课本
初中化学课本
初中思想品德课本
初中历史与社会课本
中国历史课本
中国地理课本
高中课本
高中语文课本
高中数学课本
高中数学B版课本
高中英语课本
高中物理课本
高中化学课本
高中思想政治课本
高中生物课本
高中历史课本
高中地理课本
中学课本
中学日语课本
中学俄语课本
中学音乐课本
中学美术课本
中学体育与健康课本