首页
初中
高中
音乐
美术
日语
俄语
体育与健康
小学课本
高中课本
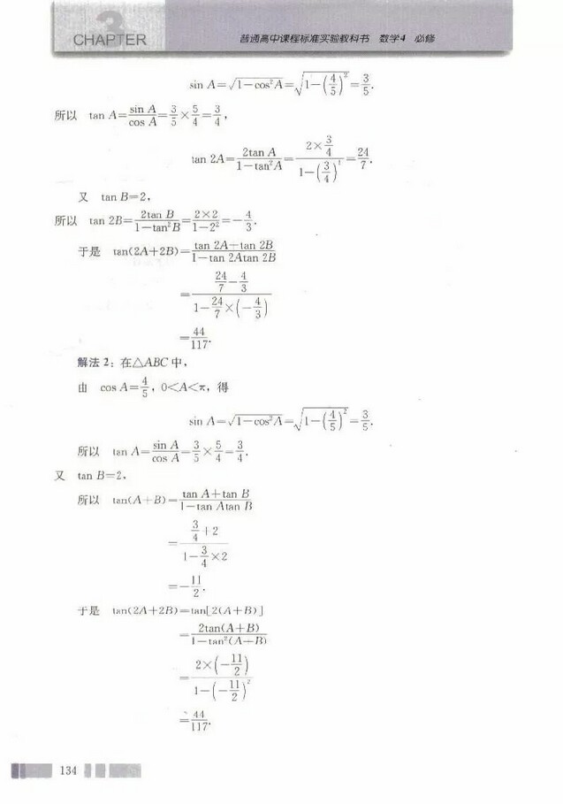
3.1两角和与差的正弦余弦和正切公式_人教版高中数学必修4
温馨提示:3.1两角和与差的正弦余弦和正切公式_人教版高中数学必修4的图片如果出现 “进度条” 说明图片正在加载中,请耐心等候...,如果加载太久,请刷新一下页面重新加载。。。
声明:我们收集的教材来源于网络,所有版权都归相关出版社,如果冒犯您的权益,我们会进行相关处理。请广大使用者在使用过程中务必注意这一点。我们努力收集相关的教材只为自己提供便利,可能也为你提供方便。
Tags
初中
高中
音乐
美术
日语
俄语
下一篇
信息技术应用利用信息技术制作三角函数表_人教版高中数学必修4
上一篇
第三章三角恒等变换_人教版高中数学必修4
目录
扉页_人教版高中数学必修4
版权页_人教版高中数学必修4
编委会_人教版高中数学必修4
主编寄语_人教版高中数学必修4
本册导引_人教版高中数学必修4
本书部分常用符号_人教版高中数学必修4
目录_人教版高中数学必修4
第一章三角函数_人教版高中数学必修4
1.1任意角和弧度制_人教版高中数学必修4
1.2任意角的三角函数_人教版高中数学必修4
阅读与思考三角学与天文学_人教版高中数学必修4
1.3三角函数的诱导公式_人教版高中数学必修4
1.4三角函数的图像与性质_人教版高中数学必修4
探究与发现函数y=Asin(ωx+φ)及函数y=Acos(ωx+φ)_人教版高中数学必修4
探究与发现利用单位圆中的三角函数线研究正弦函数余弦函数的性质_人教版高中数学必修4
信息技术应用_人教版高中数学必修4
1.5函数y=Asin(ωx+φ)的图像_人教版高中数学必修4
阅读与思考振幅周期频率相位_人教版高中数学必修4
1.6三角函数模型的简单应用_人教版高中数学必修4
小结_人教版高中数学必修4
复习参考题_人教版高中数学必修4
第二章平面向量_人教版高中数学必修4
2.1平面向量的实际背景及基本概念_人教版高中数学必修4
阅读与思考向量及向量符号的由来_人教版高中数学必修4
2.2平面向量的线性运算_人教版高中数学必修4
2.3平面向量的基本定理及坐标表示_人教版高中数学必修4
2.4平面向量的数量积_人教版高中数学必修4
2.5平面向量应用举例_人教版高中数学必修4
阅读与思考向量的运算(运算律)与图形性质_人教版高中数学必修4
小结_人教版高中数学必修4
复习参考题_人教版高中数学必修4
第三章三角恒等变换_人教版高中数学必修4
3.1两角和与差的正弦余弦和正切公式_人教版高中数学必修4
信息技术应用利用信息技术制作三角函数表_人教版高中数学必修4
3.2简单的三角恒等变换_人教版高中数学必修4
小结_人教版高中数学必修4
复习参考题_人教版高中数学必修4
后记_人教版高中数学必修4
初中课本
初中语文课本
初中数学课本
初中英语课本
初中物理课本
初中化学课本
初中思想品德课本
初中历史与社会课本
中国历史课本
中国地理课本
高中课本
高中语文课本
高中数学课本
高中数学B版课本
高中英语课本
高中物理课本
高中化学课本
高中思想政治课本
高中生物课本
高中历史课本
高中地理课本
中学课本
中学日语课本
中学俄语课本
中学音乐课本
中学美术课本
中学体育与健康课本