首页
初中
高中
音乐
美术
日语
俄语
体育与健康
小学课本
日语课本
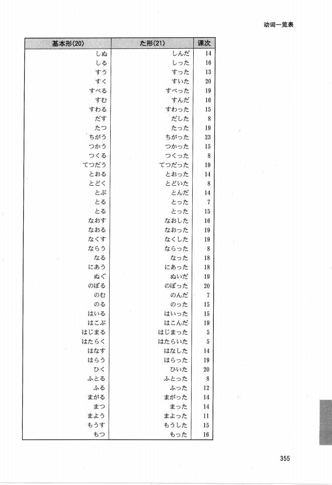
《附录 5.动词一览表》新版标准日语人教版初级上册电子课本
温馨提示:《附录 5.动词一览表》新版标准日语人教版初级上册电子课本的图片如果出现 “进度条” 说明图片正在加载中,请耐心等候...,如果加载太久,请刷新一下页面重新加载。。。
新版标准日语人教版初级上册电子书电子课本图片全册,供各位老师及家长、同学使用。人民教育出版社提供!新版标准初级上册日语教学用书。
声明:我们收集的教材来源于网络,所有版权都归相关出版社,如果冒犯您的权益,我们会进行相关处理。请广大使用者在使用过程中务必注意这一点。我们努力收集相关的教材只为自己提供便利,可能也为你提供方便。
Tags
初中
高中
音乐
美术
日语
俄语
下一篇
《附录 6.句型、表达索引》新版标准日语人教版初级上册电子课本
上一篇
《附录 4.数、量词搭配使用表》新版标准日语人教版初级上册电子课本
目录
《封面》新版标准日语人教版初级上册电子课本
《本书内容与结构》新版标准日语人教版初级上册电子课本
《目录》新版标准日语人教版初级上册电子课本
《入门单元-1.日语的发音》新版标准日语人教版初级上册电子课本
《入门单元-2.日语的文字与书写方法》新版标准日语人教版初级上册电子课本
《入门单元-3.日语的声调和语调》新版标准日语人教版初级上册电子课本
《入门单元-4.日语需要注意的发音》新版标准日语人教版初级上册电子课本
《基本单元-常用寒暄用语》新版标准日语人教版初级上册电子课本
《基本单元-出场人物介绍》新版标准日语人教版初级上册电子课本
《第一单元 小李赴日》新版标准日语人教版初级上册电子课本
《第一单元 实用场景对话-在礼品店》新版标准日语人教版初级上册电子课本
《第一单元 词语之泉-家》新版标准日语人教版初级上册电子课本
《第一单元 日本风情-日本的货币》新版标准日语人教版初级上册电子课本
《第二单元 小李的公司生活一》新版标准日语人教版初级上册电子课本
《第二单元 实用场景对话-在车站》新版标准日语人教版初级上册电子课本
《第二单元 词语之泉-食物》新版标准日语人教版初级上册电子课本
《第二单元 日本风情-街上见到的标识》新版标准日语人教版初级上册电子课本
《第三单元 小李在箱根》新版标准日语人教版初级上册电子课本
《第三单元 阅读文-手纸》新版标准日语人教版初级上册电子课本
《第三单元 实用场景对话-访问》新版标准日语人教版初级上册电子课本
《第三单元 词语之泉》新版标准日语人教版初级上册电子课本
《第三单元 日本风情-南北狭长的日本》新版标准日语人教版初级上册电子课本
《第四单元 小李的公司生活二》新版标准日语人教版初级上册电子课本
《第四单元 阅读文-吉野课长》新版标准日语人教版初级上册电子课本
《第四单元 实用场景对话-乘出租车》新版标准日语人教版初级上册电子课本
《第四单元 词语之泉-体》新版标准日语人教版初级上册电子课本
《第四单元 日本风情-体育运动》新版标准日语人教版初级上册电子课本
《第五单元 小李在日本迎新春》新版标准日语人教版初级上册电子课本
《第五单元 阅读文-小野》新版标准日语人教版初级上册电子课本
《第五单元 实用场景对话-去吃饭》新版标准日语人教版初级上册电子课本
《第五单元 词语之泉-仕事》新版标准日语人教版初级上册电子课本
《第五单元 日本风情-时令景物与传统活动》新版标准日语人教版初级上册电子课本
《第六单元 再见!日本》新版标准日语人教版初级上册电子课本
《第六单元 阅读文-転勤》新版标准日语人教版初级上册电子课本
《第六单元 实用场景对话-在家里》新版标准日语人教版初级上册电子课本
《第六单元 词语之泉-尺》新版标准日语人教版初级上册电子课本
《第六单元 日本风情-日本的传统表演艺术》新版标准日语人教版初级上册电子课本
《日本语能力测试模拟试题(4级)》新版标准日语人教版初级上册电子课本
《附录-1.课文译文》新版标准日语人教版初级上册电子课本
《附录 2.练习二、模拟试题参考答案》新版标准日语人教版初级上册电子课本
《附录 3.练习、模拟试题录音内容》新版标准日语人教版初级上册电子课本
《附录 4.数、量词搭配使用表》新版标准日语人教版初级上册电子课本
《附录 5.动词一览表》新版标准日语人教版初级上册电子课本
《附录 6.句型、表达索引》新版标准日语人教版初级上册电子课本
《附录 7.总词汇表》新版标准日语人教版初级上册电子课本
《附录 8.关联词语范畴一览表》新版标准日语人教版初级上册电子课本
《附录 9.专栏日语译文》新版标准日语人教版初级上册电子课本
初中课本
初中语文课本
初中数学课本
初中英语课本
初中物理课本
初中化学课本
初中思想品德课本
初中历史与社会课本
中国历史课本
中国地理课本
高中课本
高中语文课本
高中数学课本
高中数学B版课本
高中英语课本
高中物理课本
高中化学课本
高中思想政治课本
高中生物课本
高中历史课本
高中地理课本
中学课本
中学日语课本
中学俄语课本
中学音乐课本
中学美术课本
中学体育与健康课本